新型測氡儀E-Perm和其選擇方法
北京康高特科技有限公司
張鑫宇
氡是由長期存在于地殼中的放射性物質鈾衰變而成的產物,在空氣中普遍存在。雖然氡是惰性氣體,不與大多數物質反應,但是它會隨著時間的推移,自發進行放射性衰變危害人體的健康。我們不能完全屏蔽氡對人體的危害,但是只要進行有效控制,并經常檢測,使氡的濃度保持在一定數值以下,其對人體的傷害*可以忽略不計。
氡的濃度一般使用放射性活度單位,因此可以在各種檢測報告上看到測量結果為Bq/m3(貝克勒爾/立方米)或pCi/L(皮居里/升)。其中貝克勒爾為國際單位制單位,這兩個單位可以簡單地由下式轉換:

在核輻射測量儀器市場上有許多類型的測氡儀,有些使用閃爍體測量(PMT)、有些使用阿爾法粒子徑跡測量(RADUET)、有些使用電離室測量(RTM1688、RAD7)、還有些使用光敏元件連續測量(1027)。這些儀器各有優勢,但是它們共同的特點是測量誤差較高、對環境要求比較嚴格。而且因為儀器昂貴,不能大量配備實現多點監測,浪費時間。
E-Perm是一款美國Rad Elec公司研發的適用于多種測量環境的測氡儀。儀器對環境的要求很低,可以用于室內和室外測量,在任何濕度(RH%<*)和溫度(T<50℃)下都能保證*的測量結果。其中駐極體價格便宜,可以反復使用,因此能夠實現同時多點測量。對于環保、建筑驗收、疾控、研究所等需要*大量測量氡濃度的機構是*的選擇。
原理簡介
儀器由三個部分組成,駐極體(Fig1)、離子腔(Fig2)和電壓讀數器(Fig3)。
Fig1
Fig2
Fig3
儀器測量原理如圖4所示,將駐極體和離子腔組合之后,形成一個電離室。空氣中的氡通過擴散進入離子腔中。在儀器進氣口處有過濾器,只允許氣體進入,因此可以防止氡衰變產物Po對測量結果的影響。又因為釷(Th)的半衰期很短,不能及時地擴散到離子腔中,因此也可以排除釷對測量結果的影響。
氡在離子腔中發生阿爾法衰變,阿爾法粒子攜帶能量,將空氣電離帶正負電荷。駐極體帶有700-780V電壓,在離子腔中形成電場,正負電荷在電場中運動。正電荷接觸導電腔壁,被導出儀器。負電荷接觸駐極體,使駐極體電壓降低。使用電壓讀數器讀取駐極體電壓,通過電壓降低的多少和測量時間計算氡濃度。
*終用戶只要將每個駐極體的電壓輸入軟件,*能夠自動計算出測量結果。
Fig4
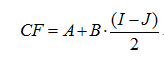
氡濃度的計算方法如下所示:
其中,I為駐極體開始測量的電壓,J為駐極體結束測量的電壓,CF為不同駐極體離子腔組合的計算因數,其物理意義是將電離室置于1pCi/L的濃度環境下1天所消耗的電壓。BG為伽馬輻射本底值。
其中,A和B根據駐極體和離子腔的不同有所區別,是其固有參數。
操作步驟
儀器的操作非常簡單,基本不用對儀器進行設置。
?使用電壓讀數器讀取駐極體電壓(I)
?將駐極體和離子腔組合成電離室(EIC)
?將電離室放置在需要測量的地點
?等待一段時間后取回電離室
?使用電壓讀數器讀取駐極體電壓(J)
?將數據輸入軟件,得到測量結果
用戶需要在計算軟件上輸入開始日期、結束日期;開始電壓、結束電壓;本底值;駐極體序列號和電離室類型(請見選擇方法)。軟件能夠自動計算出氡濃度、誤差和精度。
選擇方法
如上所述,儀器由三部分組成。
其中電壓讀數器用于讀取電壓,只有一種型號,不用選擇。
駐極體分為兩種類型:高靈敏度(ST)和低靈敏度(LT)。ST用于短時間測量,LT用于長時間測量。
離子腔分為四種類型:長時間測量腔(L 58ml)、帶開關長時間測量腔(L-OO 53ml)、帶開關標準測量腔(S 210ml)和短時間測量腔(H 960ml)。離子腔體積越大測量時間越短,誤差越小。帶開關和不帶開關的區別是帶開關的離子腔能夠暫停測量,而不帶開關的離子腔一旦安裝好后立即開始測量。
根據用戶對*小檢測濃度、*大濃度、檢測時間、允許誤差的要求,可以選擇不同的駐極體和離子腔,組合成電離室。電離室型號例如SST表示使用S帶開關標準測量離子腔和ST高靈敏度駐極體;LLT-OO表示使用L-OO帶開關長時間測量離子腔和LT低靈敏度駐極體。
不同型號的電離室*小檢出限和測量時間如下:
|
類型 |
測量時間(天) |
50%誤差限*小檢出值(pCi/L) |
25%誤差限*小檢出值(pCi/L) |
10%誤差限*小檢出值(pCi/L) |
準確度 濃度4pCi/L |
|
SST |
2 |
0.4 |
0.9 |
3.4 |
9.3% |
|
|
7 |
0.2 |
0.4 |
1.3 |
5.9% |
|
SLT |
30 |
0.3 |
0.5 |
2.7 |
7.9% |
|
|
120 |
0.2 |
0.4 |
1.2 |
5.7% |
|
LLT |
91 |
0.3 |
1.1 |
5.2 |
11.4% |
|
|
365 |
0.2 |
0.4 |
1.4 |
6.1% |
|
LLT-OO |
91 |
0.3 |
1.1 |
5.7 |
12.6% |
|
|
365 |
0.2 |
0.4 |
1.6 |
6.8% |
|
LST-OO |
30 |
0.2 |
0.4 |
1.4 |
6.9% |
|
|
91 |
0.2 |
0.4 |
1.2 |
6.2% |
|
HST |
2 |
0.19 |
0.4 |
1.1 |
6.5% |
*測量時間為推薦測量時間,可以適當縮短。
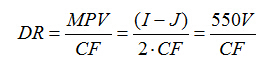
不同型號的電離室的*大測量濃度稱為動態范圍(Dynamic Range)通過下式算出:
例如SST的CF值為2.1198,通過上式算得DR=260pCi/L。此數字的物理意義是如果氡濃度為260pCi/L,那么用SST電離室測量1天,駐極體上的電壓將從750V降低至200V。也即如果氡濃度為26pCi/L,使用SST電離室測量10天,駐極體上的電壓將從750V降低至200V。
不同型號的電離室*大測量濃度如下(1天):
|
E-Perm電離室型號 |
電離室體積(ml) |
動態范圍(pCi/L-days) |
|
HST |
960 |
50 |
|
HLT |
960 |
600 |
|
SST |
210 |
277 |
|
SLT |
210 |
3307 |
|
LST-OO |
53 |
1830 |
|
LLT-OO |
53 |
20557 |
|
LLT |
58 |
18688 |
根據上面兩個參數表,電離室型號選擇步驟如下:
?首先確定測量時間,例如1天以內出結果*需要選擇HST或SST。長時間測量選擇SLT或LLT-OO。
?接著確定測量平均濃度。通過平均濃度和*大測量濃度表選擇能夠滿足條件的型號。例如如果平均濃度為2pCi/L那么選擇HST和SST都可以,這兩種型號的使用壽命分別為25天和138天。如果平均濃度為30-40pCi/L,那么*需要選擇動態范圍相對較大的電離室,從而保證使用壽命。比如選擇HST的話,駐極體只能使用1-2天,消耗過快,而選擇LST-OO則可以使用46天。
?*后確定測量下限。根據需要的誤差限選擇對應的*小測量值。例如如果在允許誤差限為10%的要求下,需要*到1pCi/L,則需要選擇HST測量2天、LST-OO測量120天或SLT測量120天。
E-Perm測氡儀以其價格低廉、操作簡單、測量結果*、功能多樣可選、多點檢測等優點被人們認可。充分了解儀器測量原理,正確選擇儀器型號能夠幫助您在測量氡濃度過程中事半功倍。相信選擇E-Perm測氡儀能夠大大拓寬氡氣檢測機構的服務范圍和應用領域。
參考文獻
1.P.Kotrappa and D.Steck ELECTRET ION CHAMBER-BASED PASSIVE RADON–THORON DISCRIMINATIVE MONITORS. Radiation Protection Dosimetry (2010), Vol. 141, No. 4, pp. 386–389
2.E-Perm System user manual version 2.321
3.Chen, J., Tokonami, S., Sorimachi, A., Takahashi, H.and Falcomer, R. Preliminary results of simultaneous radon and thoron tests in Ottawa. Radiat. Prot. Dosim.130, 253–256 (2008).
4.Tokonami, S., Takahashi, H., Kobayashi, Y., Zhuo, W.and Hulber, E. Up-to-date radon-thoron discriminative detector for a large scale survey. Rev. Sci. Instrum. 76,113505– 113509 (2005).
5.Kotrappa, P., Dempsey, J. C., Ramsey, R. W. and Stieff, L. R.A practical E-PERM TM (electret passive environmental radon monitor) system for indoor 222Rn measurement.HealthPhys.58, 461–467 (1990).